關於臭氧
2020年6月4日,中央主流新聞媒體《科技日報》刊登重磅報道:臭氧能滅活新冠病毒可用於消毒。報道主要內容如下:日本奈良縣立醫科大學與日本MBT(感染症部會會員企業)聯盟組成的研究小組於全球首次確認,臭氧氣體可以滅活新冠病毒。此外,還通過實驗明確了滅活條件,從科學角度證明了其實用性。
報道發布之後,新浪網、光明網、學習強國等網站進行了轉載,極大促進民眾正確認識臭氧價值。
而在近日,中國臭氧產業聯合會技術委員會專家、“國家P3實驗室”主任李澤琳教授主持了利用臭氧進行滅活SARS病毒的實驗,實驗中對綠猴腎細胞接種的SARS病毒綜合滅活率為99.22%,而且經過三次重複實驗,都達到很高的滅活效率。這說明,臭氧殺菌非常廣譜且強效。
我國衛生部門頒布的法規中對臭氧的殺菌作用就作了明確的肯定:臭氧是一種廣譜殺菌劑,它可殺滅細菌繁殖體和芽胞、病毒、真菌等,可破壞肉毒杆菌毒素。
近年來,臭氧行業越來越迅速,應用領域不斷拓展,尤其是水處理領域,市場需求量不斷擴大,可以說已經達到了近幾十年來的行業高峰。在我國政府對抗新冠疫情的《通知》*1中也提到,新冠肺炎的醫療汙水,都可以加投臭氧進行消毒處理。
在宅男天堂污污视频水處理領域,由於臭氧消毒能高速和高效地殺滅病菌和病毒,消除囊孢,氧化許多種有機化合物,而且臭氧分解後的唯一產物是氧,無殘留,無汙染,不產生有毒消毒副產物等諸多優點逐漸受到人們的重視。
臭氧設備選配
那麽臭氧消毒投加係統的組成及要求是怎麽樣的呢?下麵宅男在线播放就一起來看一下。
臭氧投加係統由下列各部分組成:
①臭氧發生器;②增壓水泵;③射流器(臭氧注射器);④在線管道混合器;⑤臭氧反應罐;⑥殘餘臭氧消除器(如活性炭吸附罐等);⑦各類管道、閥門、儀表等。
1、臭氧發生器
一般常用的製備臭氧方法有紫外線輻射法、化學電解法、電暈放電法等,而電暈放電法因其高效率、低能耗的特點而被廣泛應用。知名水處理品牌AQUA宅男在线播放的臭氧發生器就是采用電暈放電法。
⑴ 紫外線輻射法比較簡單,但臭氧濃度較低,不超過150㎎/m³,約為先進的氧氣法臭氧發生器的1%;產量較小3,不宜用於池水消毒。
⑵ 化學電解法是利用高純水通過電解作氧源,但由於耗電量大,運行費用高,技術要求高,工藝也尚未成熟,所以未能得到推廣。
⑶ 電暈放電法就是將幹燥的(露點-60℃以下)空氣(含氧氣21%)或富氧氣體(含氧90%左右),通過高能電場和介質放電間隙,使氧氣被電離成氧原子,與氧分子碰撞形成臭氧。電暈放電法所產生的臭氧可以通過發生電源和進氣量進行控製,但在實際使用過程中,是通過發生器啟停來控製的。
2. 臭氧氣體投加位置
臭氧應采用負壓方式進行投加,以防泄露。為確保安全這一要求,在行業標準《遊宅男天堂污污视频給水排水工程技術規程》CJJ 122-2017中規定,加壓水泵與文丘裏噴嘴應相互匹配,確保將臭氧全部送入水中。為此,具體規格應由生產廠商根據水量、臭氧投加量計算確定。
3.臭氧濃度及投加量
(1)《遊宅男天堂污污视频給水排水工程技術規程》CJJ 122--2017規定公共遊宅男天堂污污视频應按池水循環水量計算。
(2) 臭氧投加采用全流量半程式臭氧消毒時,按臭氧投加量為0.8~1.2mg/L。如投加在過濾設備之後的循環水管道內時,宜選用下限值;如投加在過濾設備之前的循環水管道內時,宜選用上限值。
(3) 臭氧采用分流量全程式臭氧消毒係統,按臭氧投加量為0.4~0.6mg/L進行計算。如為專用類宅男天堂污污视频可選用下限值,如為公共類宅男天堂污污视频可選用上限值,而且分流量水量不應小於池水循環流量的25%。
4.反應罐
反應罐就是為溶解的臭氧氧化有機物和無機物並對水進行殺菌消毒提供足夠相互接觸所需要求時間的容器,所以,反應罐的容積應保證接觸時間需要,以便使臭氧在水中更能有效地溶解,並與汙物充分發生反應。
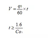
獨立反應罐的大小可按下式計算:
式中V--反應罐的有效容積(m³)
q0-進入反應罐的池水循環流量(m³/h),按下列規定取值:
全流量臭氧消毒係統:q0 為池水的循環流量;
分流量臭氧消毒係統:q0 最少取池水循環流量的25%;
t-臭氧與被消毒水接觸反應所需最少時間(min);
CO3-臭氧濃度(㎎/L),按下列規定取值:
全流量半程式臭氧消毒係統:CO3=0.8 ~ 1.0㎎/L;
全流量和分流量全程式臭氧消毒係統:CO3=0.4 ~ 0.6㎎/L。
本計算公式為美國環保局(EPA)和美國國家職業安全和衛生管理局(OSHA)提供的實驗公式,實踐證明,該公式能反應出臭氧消毒的有效性。在遊宅男天堂污污视频池水消毒領域已被廣泛接受。
5.活性炭吸附過濾器
活性炭在水淨化處理中主要用於除臭、除味、脫色和吸附有毒物質。設置活性炭吸附過濾器,將進入遊宅男天堂污污视频之前的水中 臭氧進行吸附脫除,這是比較傳統的做法。《遊宅男天堂污污视频給水排水工程技術規程》CJJ 122--2017中規定,凡采用全流量臭氧消毒係統,在臭氧反應罐之後應增設多餘臭氧吸附器這一工序設備,將池水中多餘的臭氧吸附掉,以防止過量的臭氧進入宅男天堂污污视频。
⑴在遊宅男天堂污污视频水出爐係統中,活性炭吸附過濾器為密閉式壓力容器,為保證安全運行,外殼及內部組建耐壓等級不應低於池水淨化處理係統1.5倍的工作壓力。
⑵外殼可采用不鏽鋼或其他耐臭氧氧化材質的密閉式壓力容器。
⑶內部布水、配水組件等可用耐臭氧氧化耐壓非金屬材質。
6.臭氧設備選配小結
遊宅男天堂污污视频是多人反複使用的水娛樂場所,它的設計應設有完善的宅男天堂污污视频水淨化、消毒設施,使其水質達到《遊泳場所衛生標準》、《生活飲用水衛生標準》、《遊宅男天堂污污视频給水排水設計規範》等國家有關標準。而臭氧消毒係統無疑是宅男天堂污污视频理想的選擇,它不僅殺菌廣譜、快速,水處理效果好,還可以降低化學藥品危害減少其他化學藥品用量,大幅度降低宅男天堂污污视频運行成本。
臭氧發生器安裝要點
1、臭氧發生器基礎高度應不小於100mm,水平尺寸應每邊大於箱體尺寸50~100mm。
2、臭氧發生器麵板前操作通道至少寬1000mm,淨高2000mm,其餘三麵至少有一條寬為500mm的維修通道,機房高度至少要求2200mm。
3、安裝臭氧發生器的機房應通風良好,保證溫度和濕度不超過臭氧發生器正常工作時的要求。
4、安裝臭氧發生器的機房應安裝臭氧探測裝置,當空氣中的臭氧濃度超標時應報警並關閉臭氧發生器。
5、使用臭氧發生器(係統)的遊宅男天堂污污视频水處理係統應在遊宅男天堂污污视频邊設置空氣中的臭氧濃度監測係統。
6、臭氧發生器應有保護接地措施。
好了,今天關於宅男天堂污污视频臭氧消毒的知識就介紹到這裏,你都學會了嗎?
PS: 以上產品均為AQUA宅男在线播放品牌旗下的宅男天堂污污视频水處理消毒設備,如需谘詢請登錄AQUA宅男在线播放宅男天堂污污视频設備銷售中心官網(http://www.cdhsslhs.com)或直接撥打客服熱線020-32583997,AQUA宅男在线播放期待您的光臨。